Lesson 1
Chapters 1 & 2
Lesson 2
Chapter 3 & Instrument Supplement
Lesson 3
Weather Maps
Lesson 4
Chapter 4
Lesson 5
Chapter 5
Lesson 6
Chapter 6
Lesson 7
Chapter 7
Lesson 8
Chapter 8
Lesson 9
Chapter 9
Lesson 10
Chapter 10
Lesson 11
Wind Shear and Turbulence
Lesson 12
Icing
Lesson 13
Visibility
Lesson 14
Case Study/Self-Briefing
Lesson 15
Case Study/Self-Briefing
Lesson 16
Case Study/Self-Briefing

LESSON 4

Centripetal force

Air often travels in a curved path and are therefore, according to Newton's First Law, being accelerated. An acceleration involves a change in speed, a change in direction, or a change in speed and direction. An object traveling in a circle is therefore being accelerated. According to Newton's first law, if we want an object to move in a circular motion a net force must be at workapplied to keep causing the air parcels to turn pulling the body in towards the center of the circle. This kind ofnet force is called a centripetal force. When the centripetal force is removed from a body, or reduced in magnitude, the object ceases traveling along a curved path and moves in a straight line because of inertia.

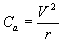
The direction of the centripetal force is always towards the center of curvature (centripetal means seeking a center) perpendicular to the direction of motion. The magnitude of the centripetal force (Ca) equals the square of the speed of the object (V) divided by the radius of the path's curvature (r).

A centripetal force simply states that the a net force points radially inward along a curved path. A centripetal force is a means to help describe a force that causes an object to move in a curved path.

Return to Lesson 4 Page.

Return to Weather For Pilots Main Page

Local Madison Weather



This web based lab section is being developed with assistance from the College of Letters and Science and the Cooperative Institute of Meteorological Satellite Studies.   Material presented is Copyrighted (C) 2000 by Steve Ackerman .  Feel free to use this material for non-profit educational purposes!